0 Este Numar Par





Lecția 2 Numere Pare Impare Divizorul Unui Număr Impărțirea Cu Rest Digital Kids

Lecția 2 Numere Pare Impare Divizorul Unui Număr Impărțirea Cu Rest Digital Kids

Matematica Fise De Lucru Numere Pare Impare Cel Mai Mic Cel Mai Mare Numar 0 10 Free Preschool Worksheets Preschool Worksheets Free Preschool

Matematica Fise De Lucru Numere Pare Impare Cel Mai Mic Cel Mai Mare Numar 0 10 Free Preschool Worksheets Preschool Worksheets Free Preschool

Adunarea și Scăderea Numerelor Naturale In Concentrul 0 1000000 Matematică Clasa A Treia școală

Adunarea și Scăderea Numerelor Naturale In Concentrul 0 1000000 Matematică Clasa A Treia școală

Pdf Domains Of Perfectionism Prevalence And Relationships With Perfectionism Gender Age And Satisfaction With Life

Pdf Domains Of Perfectionism Prevalence And Relationships With Perfectionism Gender Age And Satisfaction With Life

The E Index And Some Derived H Type Indices For Three Famous Chemists A Download Table

The E Index And Some Derived H Type Indices For Three Famous Chemists A Download Table

Pdf Particle Size Distribution And Particle Mass Measurements At Urban Near City And Rural Level In The Copenhagen Area And Southern Sweden

Pdf Particle Size Distribution And Particle Mass Measurements At Urban Near City And Rural Level In The Copenhagen Area And Southern Sweden

Pdf Particle Size Distribution And Particle Mass Measurements At Urban Near City And Rural Level In The Copenhagen Area And Southern Sweden

Adunarea și Scăderea Numerelor Naturale Cu Trecere Peste Ordinul Unităților Trei Fișe De Lucru Cu Exerciții Pentru Consolidarea Depr Education Sheet Music Mem

Adunarea și Scăderea Numerelor Naturale Cu Trecere Peste Ordinul Unităților Trei Fișe De Lucru Cu Exerciții Pentru Consolidarea Depr Education Sheet Music Mem

Pdf Chemical Control Of Thrips Tabaci Attack On The Crop Of Calendula Officinalis

Pdf Chemical Control Of Thrips Tabaci Attack On The Crop Of Calendula Officinalis

Subiecte Concurs Matematica Clasa 1

Subiecte Concurs Matematica Clasa 1

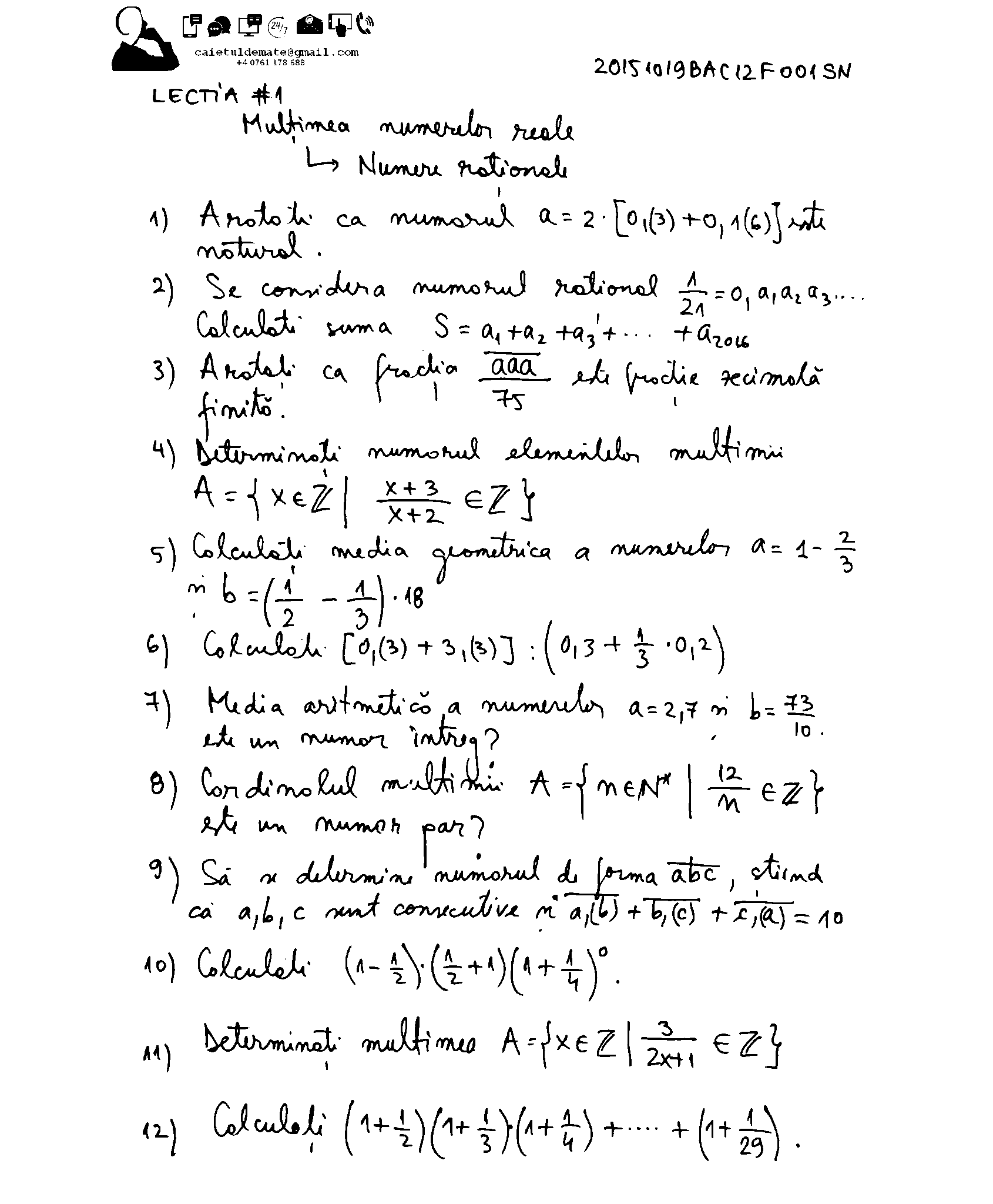
Caietuldemate Bac On Twitter Bac 2016 Lectia 1 Multimea Numerelor Reale Numere Rationale Viziteaza Caietuldemate Ro Notite Teste Variante Http T Co 1guuxtuuih

Caietuldemate Bac On Twitter Bac 2016 Lectia 1 Multimea Numerelor Reale Numere Rationale Viziteaza Caietuldemate Ro Notite Teste Variante Http T Co 1guuxtuuih

Olimpiada Republicană Pdf Google Drive

Olimpiada Republicană Pdf Google Drive

6 Rezolvă Scăderile Apoi Desenează Un Materia Programare Declarativă Mi A Imbunătățit In Mod Semnificativ Viața Facebook

6 Rezolvă Scăderile Apoi Desenează Un Materia Programare Declarativă Mi A Imbunătățit In Mod Semnificativ Viața Facebook

Prime Number Wikipedia

Prime Number Wikipedia

Media Tweets By Dana Nedea Dananedea Twitter

Media Tweets By Dana Nedea Dananedea Twitter

2

2

2

2

Trucuri Psihologice Simple

Trucuri Psihologice Simple

Pdf Study Of The Number Of Slots Pole Combinations For Low Speed Permanent Magnet Synchronous Generators

Pdf Study Of The Number Of Slots Pole Combinations For Low Speed Permanent Magnet Synchronous Generators

Curs 1 Mulțimi Prezentaciya Onlajn

Curs 1 Mulțimi Prezentaciya Onlajn

Ințelegi Matematica Mquest Ro

Ințelegi Matematica Mquest Ro

Source : pinterest.com